二叉搜索树
 2022/2/20  treeheap
# Tree基本结构
function BinaryTree(data, left, right) {
  this.data = data; // 节点的值
  this.left = left; // 左节点
  this.right = right; // 右节点
}
function BST() {
  this.root = null;
}
/**
 * 定义插入属性
 * @param key int|float 要插入的值
 */
BST.prototype.insert = function(data) {
  var newNode = new BinaryTree(data, null, null);
  // 如果没有root节点
  if (this.root === null) {
    this.root = newNode;
  } else {
    this.insertNode(this.root, newNode);
  }
};
/**
 * 插入数据 left小 ,right大
 * @param node obj 节点数据
 * @param newNode obj 要插入的节点数据
 */
BST.prototype.insertNode = function(node, newNode) {
  if (newNode.data < node.data) {
    if (node.left === null) {
      node.left = newNode;
    } else {
      this.insertNode(node.left, newNode);
    }
  } else {
    if (node.right === null) {
      node.right = newNode;
    } else {
      this.insertNode(node.right, newNode);
    }
  }
};
1
2
3
4
5
6
7
8
9
10
11
12
13
14
15
16
17
18
19
20
21
22
23
24
25
26
27
28
29
30
31
32
33
34
35
36
37
38
39
40
41
42
43
44
2
3
4
5
6
7
8
9
10
11
12
13
14
15
16
17
18
19
20
21
22
23
24
25
26
27
28
29
30
31
32
33
34
35
36
37
38
39
40
41
42
43
44
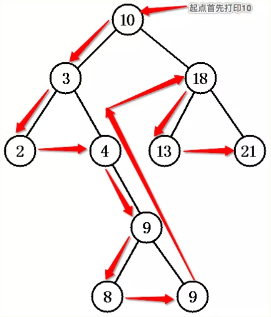
# 前序排列查询
val -> 左 -> 右
- 示例图 ![20200102225235]() 
- 递归实现 
/**
 * 前序查询
 * @param node obj 节点
 * @returns {Array}
 */
BST.prototype.preOrder = function(node) {
  var nodeArr = [];
  var node = this.root;
  if (node !== null) {
    this.preOrderNode(node, nodeArr);
  }
  return nodeArr;
};
/**
 * 前序(中->左->右)
 * @param node obj 节点
 * @param nodeArr 存储查询的值
 */
BST.prototype.preOrderNode = function(node, nodeArr) {
  if (node !== null) {
    nodeArr.push(node.data);  // <- there
    this.preOrderNode(node.left, nodeArr);
    this.preOrderNode(node.right, nodeArr);
  }
};
1
2
3
4
5
6
7
8
9
10
11
12
13
14
15
16
17
18
19
20
21
22
23
24
25
26
2
3
4
5
6
7
8
9
10
11
12
13
14
15
16
17
18
19
20
21
22
23
24
25
26
var preOrderNode = function(root) {
    let result = []
    if(!root) return result
    const stack = [] // 栈结构
    stack.push(root)
    while(stack.length){
        const cur = stack.pop();
        result.push(cur.val)
        // 若栈顶结点有右孩子,则将右孩子入栈
        if(cur.right){
            stack.push(cur.right)
        }
        // 若栈顶结点有左孩子,则将左孩子入栈
        if(cur.left){
            stack.push(cur.left)
        }
    }
    return result
};
1
2
3
4
5
6
7
8
9
10
11
12
13
14
15
16
17
18
19
20
21
22
2
3
4
5
6
7
8
9
10
11
12
13
14
15
16
17
18
19
20
21
22
# 中序排列查询
左 -> val -> 右
- 示例图 ![20200102225508]() 
- 递归实现 
/**
 * 中序排列查询
 * @param node obj 节点
 * @returns {Array}
 */
BST.prototype.inOrder = function(sort = "ASC") {
  var nodeArr = [];
  var node = this.root;
  if (node !== null) {
    if (sort.toUpperCase() == "DESC") {
      this.inOrderDescNode(node, nodeArr);
    } else {
      this.inOrderAscNode(node, nodeArr);
    }
  }
  return nodeArr;
};
/**
 * 中序查询-升序(左->中->右)
 * @param node obj 节点
 * @param nodeArr array 存储排序的值
 */
BST.prototype.inOrderAscNode = function(node, nodeArr) {
  if (node !== null) {
    this.inOrderAscNode(node.left, nodeArr);
    nodeArr.push(node.data);  // <- there
    this.inOrderAscNode(node.right, nodeArr);
  }
};
/**
 * 中序查询-降序(右->中->左)
 * @param node obj 节点
 * @param nodeArr array 存储排序的值
 */
BST.prototype.inOrderDescNode = function(node, nodeArr) {
  if (node !== null) {
    this.inOrderDescNode(node.right, nodeArr);
    nodeArr.push(node.data); // <- there
    this.inOrderDescNode(node.left, nodeArr);
  }
};
1
2
3
4
5
6
7
8
9
10
11
12
13
14
15
16
17
18
19
20
21
22
23
24
25
26
27
28
29
30
31
32
33
34
35
36
37
38
39
40
41
42
43
2
3
4
5
6
7
8
9
10
11
12
13
14
15
16
17
18
19
20
21
22
23
24
25
26
27
28
29
30
31
32
33
34
35
36
37
38
39
40
41
42
43
const inorderTraversal = function(root) {
  // 定义结果数组
  const res = []
  // 初始化栈结构
  const stack = []
  // 用一个 cur 结点充当游标
  let cur = root
  // 当 cur 不为空、或者 stack 不为空时,重复以下逻辑
  while(cur || stack.length) {
      // 这个 while 的作用是把寻找最左叶子结点的过程中,途径的所有结点都记录下来
      while(cur) {
          // 将途径的结点入栈
          stack.push(cur)
          // 继续搜索当前结点的左孩子
          cur = cur.left
      }
      // 取出栈顶元素
      cur = stack.pop()
      // 将栈顶元素入栈
      res.push(cur.val)
      // 尝试读取 cur 结点的右孩子
      cur = cur.right
  }
  // 返回结果数组
  return res
};
1
2
3
4
5
6
7
8
9
10
11
12
13
14
15
16
17
18
19
20
21
22
23
24
25
26
2
3
4
5
6
7
8
9
10
11
12
13
14
15
16
17
18
19
20
21
22
23
24
25
26
# 后序排列查询
左 -> 右 -> val
- 示例图 ![20200102225635]() 
- 递归实现 
/**
 * 后序查询
 * @param node obj 节点
 * @returns {Array}
 */
BST.prototype.reOrder = function(node) {
  var nodeArr = [];
  var node = this.root;
  if (node !== null) {
    this.reOrderNode(node, nodeArr);
  }
  return nodeArr;
};
/**
 * 后序(左->右->中)
 * @param node obj 节点
 * @param nodeArr 存储查询的值
 */
BST.prototype.reOrderNode = function(node, nodeArr) {
  if (node !== null) {
    this.reOrderNode(node.left, nodeArr);
    this.reOrderNode(node.right, nodeArr);
    nodeArr.push(node.data);  // <- there
  }
};
1
2
3
4
5
6
7
8
9
10
11
12
13
14
15
16
17
18
19
20
21
22
23
24
25
26
2
3
4
5
6
7
8
9
10
11
12
13
14
15
16
17
18
19
20
21
22
23
24
25
26
const postOrder = function(root) {
  // 定义结果数组
  const res = []
  // 处理边界条件
  if(!root) {
      return res
  }
  // 初始化栈结构
  const stack = []
  // 首先将根结点入栈
  stack.push(root)
  // 若栈不为空,则重复出栈、入栈操作
  while(stack.length) {
      // 将栈顶结点记为当前结点
      const cur = stack.pop()
      // 当前结点就是当前子树的根结点,把这个结点放在结果数组的(头部)
      res.unshift(cur.val)   //
      // 若当前子树根结点有左孩子,则将左孩子入栈
      if(cur.left) {
        stack.push(cur.left)
      }
      // 若当前子树根结点有右孩子,则将右孩子入栈
      if(cur.right) {
        stack.push(cur.right)
      }
  }
  // 返回结果数组
  return res
};
1
2
3
4
5
6
7
8
9
10
11
12
13
14
15
16
17
18
19
20
21
22
23
24
25
26
27
28
29
2
3
4
5
6
7
8
9
10
11
12
13
14
15
16
17
18
19
20
21
22
23
24
25
26
27
28
29
# 最大值
BST.prototype.max = function(node) {
  var node = this.root;
  var newNode = this.maxNode(node);
  return newNode === null ? null : newNode.data;
};
BST.prototype.maxNode = function(node) {
  if (node === null) return null;
  while (node !== null && node.right !== null) {
    node = node.right;
  }
  return node;
};
1
2
3
4
5
6
7
8
9
10
11
12
13
2
3
4
5
6
7
8
9
10
11
12
13
# 最小值
BST.prototype.min = function(node) {
  var node = this.root;
  var newNode = this.minNode(node);
  return newNode === null ? null : newNode.data;
};
BST.prototype.minNode = function(node) {
  if (node === null) return null;
  if (node.left !== null) return this.minNode(node.left);
  return node;
};
1
2
3
4
5
6
7
8
9
10
11
2
3
4
5
6
7
8
9
10
11
# 查询节点
BST.prototype.searchNode = function(node, data) {
  if (node === null) {
    return false;
  }
  if (data < node.data) {
    return this.searchNode(node.left, data);
  } else if (data > node.data) {
    return this.searchNode(node.right, data);
  } else {
    return true;
  }
};
BST.prototype.search = function(data) {
  return this.searchNode(this.root, data);
};
1
2
3
4
5
6
7
8
9
10
11
12
13
14
15
16
2
3
4
5
6
7
8
9
10
11
12
13
14
15
16
# 移除节点
/**
 * 移除一个节点
 * @param data int|float 要移除的节点值
 * @param node obj 节点
 * @returns {*}
 */
BST.prototype.remove = function(data) {
  var node = this.root;
  return this.removeNode(node, data);
};
/**
 * 移除节点
 * @param data int|float 要移除的节点值
 * @param node obj 节点
 * @returns {*}
 */
BST.prototype.removeNode = function(node, data) {
  if (node === null) return null;
  if (data < node.data) {
    node.left = this.removeNode(node.left, data);
    return node;
  } else if (data > node.data) {
    node.right = this.removeNode(node.right, data);
    return node;
  } else {
    // 这事判断第一种情况,没有左右分支的情况下,
    if (node.left === null && node.right === null) {
      node = null;
      return node;
    }
    // 这是左子树为空的情况
    if (node.left === null) {
      node = node.right;
      return node;
    } else if (node.right === null) {
      // 这是右子树为空的情况
      node = node.left;
      return node;
    } else {
      // 如果左右两个分支都存在的时候
      // 寻找该节点的右节点的最小节点
      var aux = this.minNode(node.right);
      // 将改节点与找到的最小节点值互换
      node.data = aux.data;
      // 删掉替换后的最小节点
      node.right = this.removeNode(node.right, aux.data);
      return node;
    }
  }
};
1
2
3
4
5
6
7
8
9
10
11
12
13
14
15
16
17
18
19
20
21
22
23
24
25
26
27
28
29
30
31
32
33
34
35
36
37
38
39
40
41
42
43
44
45
46
47
48
49
50
51
2
3
4
5
6
7
8
9
10
11
12
13
14
15
16
17
18
19
20
21
22
23
24
25
26
27
28
29
30
31
32
33
34
35
36
37
38
39
40
41
42
43
44
45
46
47
48
49
50
51
# 广度优先
- 层序遍历
function BFS(root) {
    const queue = [] // 初始化队列queue
    // 根结点首先入队
    queue.push(root)
    // 队列不为空,说明没有遍历完全
    while(queue.length) {
        const top = queue[0] // 取出队头元素
        // 访问 top
        console.log(top.val)
        // 如果左子树存在,左子树入队
        if(top.left) {
            queue.push(top.left)
        }
        // 如果右子树存在,右子树入队
        if(top.right) {
            queue.push(top.right)
        }
        queue.shift() // 访问完毕,队头元素出队
    }
}
1
2
3
4
5
6
7
8
9
10
11
12
13
14
15
16
17
18
19
20
2
3
4
5
6
7
8
9
10
11
12
13
14
15
16
17
18
19
20
# 翻转二叉树
var invertTree = function(root) {
	if(!root) return root
  let left = invertTree(root.left)
  let right = invertTree(root.right)
  root.left = right;
  root.right = left
  return root
}
1
2
3
4
5
6
7
8
9
10
11
2
3
4
5
6
7
8
9
10
11
# 相同的树
var isSameTree = function(p, q) {
    if(p ==null && q == null) return true
    if(p == null || q == null) return false
    if(p.val != q.val) return false
		// 分别比较左子树 和 右子树
    return isSameTree(p.left, q.left) && isSameTree(p.right, q.right)
};
1
2
3
4
5
6
7
8
2
3
4
5
6
7
8
# 其他方法
// 求二叉树节点个数
const sizeOfNode = function(node) {
  if (!node) {
    return 0;
  }
  return 1 + sizeOfNode(node.left) + sizeOfNode(node.right);
};
// 求二叉树层级
const levelOfNode = function(node) {
  if (!node) {
    return 0;
  }
  return (
    Math.max(levelOfNode(node.left), levelOfNode(node.right)) + 1
  );
};
// 求二叉树第K层的节点个数
const numKLevel = function(node, k) {
  if (k < 0) {
    return 0;
  }
  if (node === null) {
    return 0;
  }
  if (node !== null && k === 1) {
    return 1;
  }
  return numKLevel(node.left, k - 1) + numKLevel(node.right, k - 1);
};
1
2
3
4
5
6
7
8
9
10
11
12
13
14
15
16
17
18
19
20
21
22
23
24
25
26
27
28
29
30
31
2
3
4
5
6
7
8
9
10
11
12
13
14
15
16
17
18
19
20
21
22
23
24
25
26
27
28
29
30
31
# Trie (前缀树)
前缀树 是一种树形数据结构,用于高效地存储和检索字符串数据集中的键。这一数据结构有相当多的应用情景,例如自动补完和拼写检查
var Trie = function() {
    this.children = {}
};
/**
 * @param {string} word
 * @return {void}
 */
Trie.prototype.insert = function(word) {
    let node = this.children
    for(const ch of word){
        if(!node[ch]){
           node[ch]={}
        }
        node = node[ch]
    }
    node.isEnd = true
};
Trie.prototype.searchPrefix = function(word) {
    let node = this.children
    for(const ch of word){
        if(!node[ch]) {
            return false
        }
        node = node[ch]
    }
    return node
};
/**
 * @param {string} word
 * @return {boolean}
 */
Trie.prototype.search = function(word) {
    const node = this.searchPrefix(word)
    return node !== undefined && node.isEnd != undefined
};
/**
 * @param {string} prefix
 * @return {boolean}
 */
Trie.prototype.startsWith = function(prefix) {
    return this.searchPrefix(prefix)
};
/**
 * Your Trie object will be instantiated and called as such:
 * var obj = new Trie()
 * obj.insert(word)
 * var param_2 = obj.search(word)
 * var param_3 = obj.startsWith(prefix)
 */
1
2
3
4
5
6
7
8
9
10
11
12
13
14
15
16
17
18
19
20
21
22
23
24
25
26
27
28
29
30
31
32
33
34
35
36
37
38
39
40
41
42
43
44
45
46
47
48
49
50
51
52
53
54
2
3
4
5
6
7
8
9
10
11
12
13
14
15
16
17
18
19
20
21
22
23
24
25
26
27
28
29
30
31
32
33
34
35
36
37
38
39
40
41
42
43
44
45
46
47
48
49
50
51
52
53
54
# 将有序数组转换为二叉搜索树
/**
 * Definition for a binary tree node.
 * function TreeNode(val, left, right) {
 *     this.val = (val===undefined ? 0 : val)
 *     this.left = (left===undefined ? null : left)
 *     this.right = (right===undefined ? null : right)
 * }
 */
/**
 * @param {number[]} nums
 * @return {TreeNode}
 */
var sortedArrayToBST = function(nums) {
    if(nums.length == 0) return null;
    return dfs(nums, 0, nums.length-1)
};
function dfs(nums, left, right){
    if(left > right){
        return null
    }
    let mid = Math.floor(left + (right - left) / 2);
    let root = new TreeNode(nums[mid])
    root.left = dfs(nums, left, mid -1)
    root.right = dfs(nums, mid+1, right)
    return root
}
1
2
3
4
5
6
7
8
9
10
11
12
13
14
15
16
17
18
19
20
21
22
23
24
25
26
27
28
2
3
4
5
6
7
8
9
10
11
12
13
14
15
16
17
18
19
20
21
22
23
24
25
26
27
28
# 最小堆与最大堆(heap)
来源:学习javascript数据结构与算法(第三版)
- util.js
export const Compare = {
  LESS_THAN: -1,
  BIGGER_THAN: 1,
  EQUALS: 0
};
export function defaultCompare(a, b) {
  if (a === b) {
    return Compare.EQUALS;
  }
  return a < b ? Compare.LESS_THAN : Compare.BIGGER_THAN;
}
export function swap(array, a, b) {
  /* const temp = array[a];
  array[a] = array[b];
  array[b] = temp; */
  [array[a], array[b]] = [array[b], array[a]];
}
export function reverseCompare(compareFn) {
  return (a, b) => compareFn(b, a);
}
1
2
3
4
5
6
7
8
9
10
11
12
13
14
15
16
17
18
19
20
21
22
23
2
3
4
5
6
7
8
9
10
11
12
13
14
15
16
17
18
19
20
21
22
23
- Heap.js
import { Compare, defaultCompare, reverseCompare, swap } from '../util';
export class MinHeap {
  constructor(compareFn = defaultCompare) {
    this.compareFn = compareFn;
    this.heap = [];
  }
  getLeftIndex(index) {
    return (2 * index) + 1;
  }
  getRightIndex(index) {
    return (2 * index) + 2;
  }
  getParentIndex(index) {
    if (index === 0) {
      return undefined;
    }
    return Math.floor((index - 1) / 2);
  }
  size() {
    return this.heap.length;
  }
  isEmpty() {
    return this.size() <= 0;
  }
  clear() {
    this.heap = [];
  }
  findMinimum() {
    return this.isEmpty() ? undefined : this.heap[0];
  }
  insert(value) {
    if (value != null) {
      const index = this.heap.length;
      this.heap.push(value);
      this.siftUp(index);
      return true;
    }
    return false;
  }
  siftDown(index) {
    let element = index;
    const left = this.getLeftIndex(index);
    const right = this.getRightIndex(index);
    const size = this.size();
    if (
      left < size &&
      this.compareFn(this.heap[element], this.heap[left]) === Compare.BIGGER_THAN
    ) {
      element = left;
    }
    if (
      right < size &&
      this.compareFn(this.heap[element], this.heap[right]) === Compare.BIGGER_THAN
    ) {
      element = right;
    }
    if (index !== element) {
      swap(this.heap, index, element);
      this.siftDown(element);
    }
  }
  siftUp(index) {
    let parent = this.getParentIndex(index);
    while (
      index > 0 &&
      this.compareFn(this.heap[parent], this.heap[index]) === Compare.BIGGER_THAN
    ) {
      swap(this.heap, parent, index);
      index = parent;
      parent = this.getParentIndex(index);
    }
  }
  extract() {
    if (this.isEmpty()) {
      return undefined;
    }
    if (this.size() === 1) {
      return this.heap.shift();
    }
    const removedValue = this.heap[0];
    this.heap[0] = this.heap.pop();
    this.siftDown(0);
    return removedValue;
  }
  heapify(array) {
    if (array) {
      this.heap = array;
    }
    const maxIndex = Math.floor(this.size() / 2) - 1;
    for (let i = maxIndex; i >= 0; i--) {
      this.siftDown(i);
    }
    return this.heap;
  }
  getAsArray() {
    return this.heap;
  }
}
export class MaxHeap extends MinHeap {
  constructor(compareFn = defaultCompare) {
    super(compareFn);
    this.compareFn = compareFn;
    this.compareFn = reverseCompare(compareFn);
  }
}
1
2
3
4
5
6
7
8
9
10
11
12
13
14
15
16
17
18
19
20
21
22
23
24
25
26
27
28
29
30
31
32
33
34
35
36
37
38
39
40
41
42
43
44
45
46
47
48
49
50
51
52
53
54
55
56
57
58
59
60
61
62
63
64
65
66
67
68
69
70
71
72
73
74
75
76
77
78
79
80
81
82
83
84
85
86
87
88
89
90
91
92
93
94
95
96
97
98
99
100
101
102
103
104
105
106
107
2
3
4
5
6
7
8
9
10
11
12
13
14
15
16
17
18
19
20
21
22
23
24
25
26
27
28
29
30
31
32
33
34
35
36
37
38
39
40
41
42
43
44
45
46
47
48
49
50
51
52
53
54
55
56
57
58
59
60
61
62
63
64
65
66
67
68
69
70
71
72
73
74
75
76
77
78
79
80
81
82
83
84
85
86
87
88
89
90
91
92
93
94
95
96
97
98
99
100
101
102
103
104
105
106
107
- 使用MinHeap
let heap = new MinHeap();
heap.insert(2);
heap.insert(3);
heap.insert(4);
heap.insert(5);
heap.insert(2);
console.log(heap.getAsArray());
console.log('Heap size: ', heap.size()); // 5
console.log('Heap is empty: ', heap.isEmpty()); // false
console.log('Heap min value: ', heap.findMinimum()); // 1
heap = new MinHeap();
for (let i = 1; i < 10; i++) {
  heap.insert(i);
}
console.log(heap.getAsArray());
console.log('Extract minimum: ', heap.extract()); // 1
console.log(heap.getAsArray()); // [2, 4, 3, 8, 5, 6, 7, 9]
1
2
3
4
5
6
7
8
9
10
11
12
13
14
15
16
17
18
19
20
21
22
23
24
2
3
4
5
6
7
8
9
10
11
12
13
14
15
16
17
18
19
20
21
22
23
24
- 使用MaxHeap
const maxHeap = new MaxHeap();
maxHeap.insert(2);
maxHeap.insert(3);
maxHeap.insert(4);
maxHeap.insert(5);
maxHeap.insert(1);
console.log(maxHeap.getAsArray());
console.log('Heap size: ', maxHeap.size()); // 5
console.log('Heap is empty: ', maxHeap.isEmpty()); // false
console.log('Heap min value: ', maxHeap.findMinimum()); // 5
maxHeap.insert(6);
maxHeap.insert(9);
maxHeap.insert(10);
maxHeap.insert(14);
console.log(maxHeap.getAsArray());
console.log('Extract minimum: ', maxHeap.extract());
console.log(maxHeap.getAsArray());
1
2
3
4
5
6
7
8
9
10
11
12
13
14
15
16
17
18
19
20
21
22
23
24
2
3
4
5
6
7
8
9
10
11
12
13
14
15
16
17
18
19
20
21
22
23
24
 
 

